Boolean Algebra Simplification Problems With Solutions Pdf
For example the complete set of rules for Boolean addition is as follows. Comparing the previous SOP simplification left to the POS simplification right shows that the POS is the least cost solution.

7 9 Converting Truth Tables Into Boolean Expressions Workforce Libretexts
This POS solution even looks attractive when using TTL logic due to simplicity of the result.

Boolean algebra simplification problems with solutions pdf. Algebra problems pdf pre-algebra with pizzazz page 181. Otherwise terms of Boolean and non-Boolean sort may be mixed in any combination where sorts match up. Formulas that are used in assertions or added to solvers are terms of Boolean sort.
Boolean algebra word problems to boolean algebra symbols. The SOP uses 5-gates total the POS uses only 3-gates. Boolean algebra simplification Solving Combinations and permutations calculator solving system of equations with excel.
Question 5 Boolean algebra is a strange sort of math. Functions with Boolean range can be used to create formulas. We can find AND gates and an OR gate with 2-inputs.
000 011 101 111 Suppose a student saw this for the very first time and was quite puzzled by it.

7 5 Boolean Rules For Simplification Workforce Libretexts
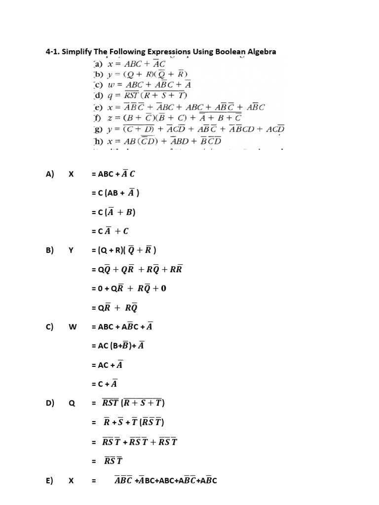
4 1 Simplify The Following Expressions Using Boolean Algebra Algebra Mathematical Logic

Boolean Algebra And Reduction Techniques

Boolean Algebra Tutorial And Boolean Algebra Examples

Boolean Algebra Basic Digital Principles Assignment Help Algebra Advance Math Math

7 5 Boolean Rules For Simplification Workforce Libretexts

Boolean Algebra Simplification Question Proof Of Equation Mathematics Stack Exchange

Boolean Algebra 2 Basic Problems Youtube

Example Problems Boolean Expression Simplification Youtube

Logic Simplification With Karnaugh Maps Karnaugh Mapping Electronics Textbook

Minimization Of Boolean Functions Geeksforgeeks

Boolean Algebra Law Basic Rules In Boolean Algebra

Boolean Algebra An Overview Sciencedirect Topics

Pdf Boolean Algebra And Logic Simplification Free Tutorial For Beginners

Logic Simplification Examples Using Boolean Rules Youtube

2 1 4 Ak Circuitsimplificationbooleanalgebra 2 1
Boolean Rules For Simplification Boolean Algebra

